안녕하세요 창원 골프 & 창원 운동 Doctor.K 입니다. 오늘은 골프선수의 클럽 헤드 스피드와 파워, 고관절 및 몸통 근력과의 관계에 대한 연구 리뷰를 진행 해보겠습니다.

주요용어: clubhead speed (CHS) , countermovement jump (CMJ), squat (SQ), backward overhead medicine ball (BOMB)
골프에서의 파워?
골프에서는 비거리를 늘리는 것은 스코어 향상에 효과적으로 도움이 됩니다. 비거리와 관련된 다양한 요소가 있지만 임팩트 시 클럽 헤드 속도(CHS)가 상당한 영향을 미칩니다. CHS를 개선하기 위한 저항 훈련의 유용성이 명백해지면서 많은 골퍼들이 시행하고 있습니다.
CHS와 체력에 관한 연구에서 스쿼트(SQ)의 1RM(1RM), 점프 높이, CMJ(Peak Power of Counter Movement Jump)는 CHS와 양의 상관관계가 있는 것으로 보고되었습니다. 흥미롭게도 이 모든 측정 중에서 하지의 3개 관절(발목, 무릎, 고관절)과 몸통의 신전과 관련된 근육이 상당히 많습니다. 골프 스윙 중에 발생하는 하지 및 몸통 신전의 힘은 CHS에 영향을 줄 수 있다고 보고되었습니다.
또한 뒷다리 고관절 신전근(대둔근, 반건양근 및 반막양근)의 근육 활동량이 골프 스윙에서 CHS에 기여한다는 사실을 발견했습니다. 본 연구의 목적은 CHS와 폭발력(CMJ, BOMB 투척 거리), 고관절 신전-굴곡 근력, 몸통 회전 힘의 관계를 규명하는 데 있습니다.
결과 및 논의
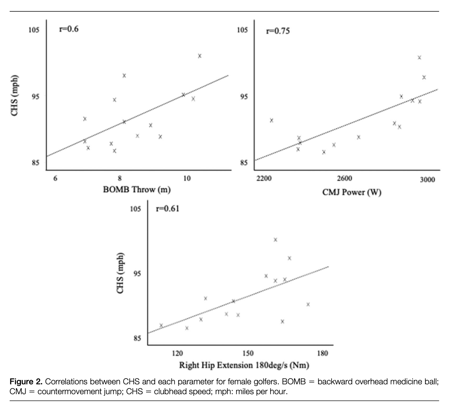
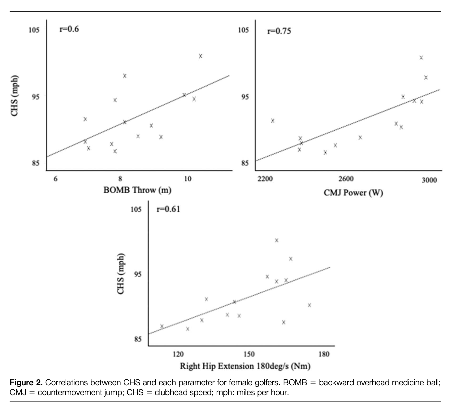
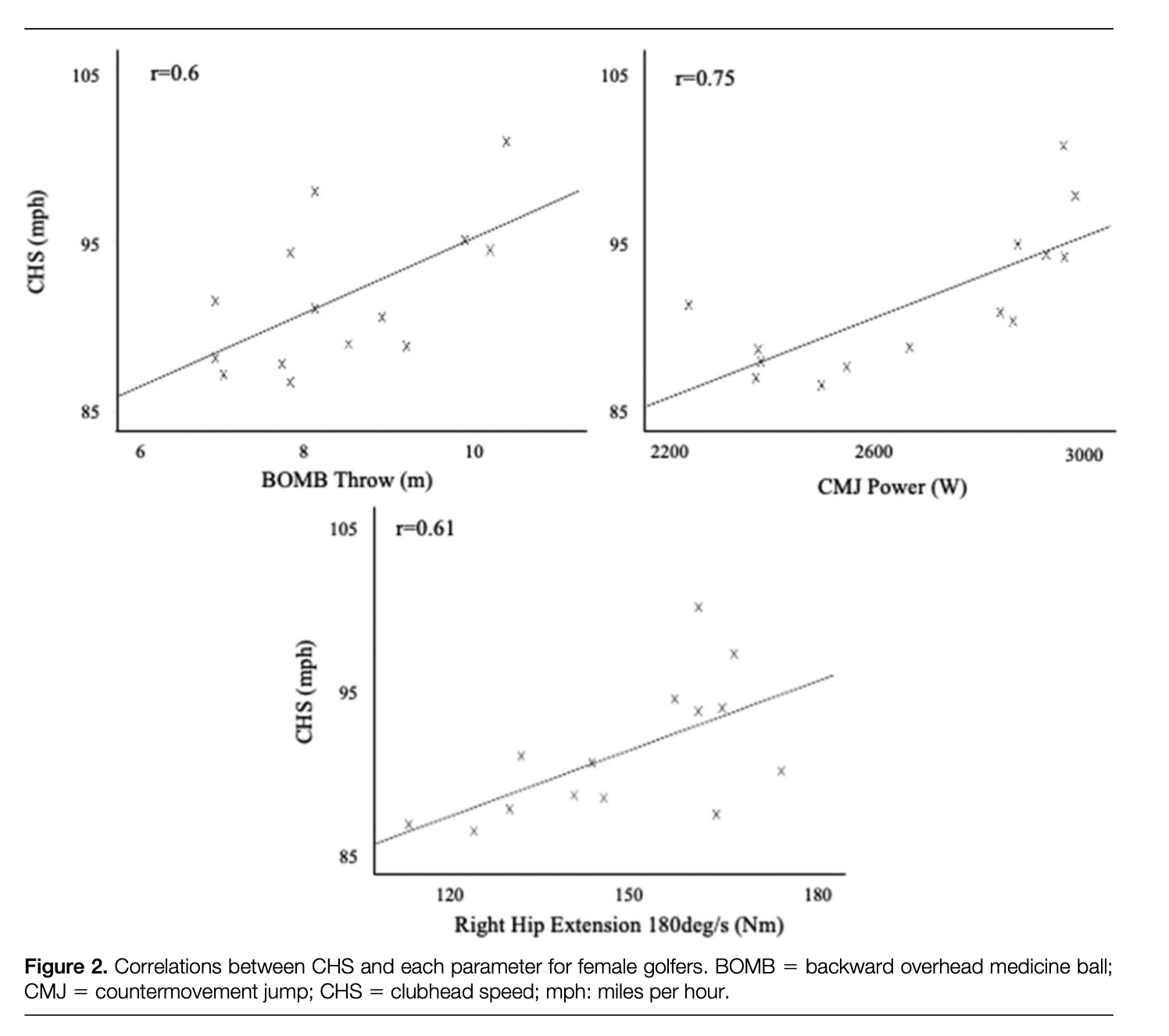
CHS는 CMJ의 최대 파워와 BOMB 던지기의 거리 사이에 상관관계가 남녀 선수 모두에서 관찰된 반면, CHS는 남자 선수의 CMJ 높이와 의 상관관계가 있는 유일한 항목이었습니다.


BOMB 던지기의 거리는 가설대로 CHS와 양의 상관 관계가 있습니다. BOMB 던지기는 하지(발목, 무릎, 고관절)의 3개 관절과 몸통의 근력에 초점을 맞춰 전신의 힘을 평가하는 측정법입니다. 이전 연구에서는 BOMB 던지기의 거리가 CMJ의 높이 및 피크 파워와 양의 상관관계가 있음을 보여주었으며, 이는 몸통 신전 근육 근력이 CMJ보다 더 많은 근력이 기여함을 시사합니다.
본 연구의 결과는 뒷다리(오른쪽 다리) 고관절 신전근 그룹의 근력이 CHS와 양의 상관관계가 있다는 사실을 뒷받침 합니다.
반면에 CHS는 왼쪽 고관절 굴곡 피크 토크와 상관관계가 없었습니다. Takagiet al. 골프 스윙 중 왼쪽 고관절 굴곡 토크가 골반 회전에 기여하지만 피크 토크의 크기는 오른쪽 고관절 신전 토크보다 작다고 보고했습니다. 또한, 골프 스윙에서 왼쪽 고관절 굴곡 토크가 발휘되는 단계는 왼쪽 고관절 내전 토크가 발휘되는 단계에 근접하여 왼쪽 고관절의 사용(근력을 사용하는 방식)을 시사합니다. 골프 스윙에서 골반 회전에 기여하는 것은 굴곡과 내전의 조합일 수 있습니다.
적용
본 연구의 결과는 CMJ의 최고 파워, BOMB 던지기 거리, 오른쪽 고관절 신전 근력의 크기가 CHS와 관련이 있을 수 있음을 시사합니다. 이러한 결과는 각각의 측정이 CHS와 관련된 체력 및 근력 측정에 유용함을 시사하며, 시상면에서 고관절을 중심으로 하지의 3개 관절(발목, 무릎, 고관절)을 강화하고, 몸통의 신전근 근력은 CHS를 개선합니다. 즉, SQ와 데드리프트, CMJ와 BOMB 던지기와 같은 근력종목과 파워종목을 각각 결합하여 대상 부위를 강화함으로써 CHS를 향상시킬 수 있습니다.
골프는 선수들 사이에서 요통 발생률이 높은 스포츠로, 요통 예방을 위해 측면 복근군(외복사근, 내복사근, 복횡근)을 강화하는 것이 유용하다는 데는 어느 정도 공감대가 형성돼어 있습니다. 따라서 CHS 개선을 위한 체력훈련보다는 골프선수들 사이에서 흔히 발생하는 요통을 예방하기 위한 체력훈련으로 측면복근군과 몸통회전근군을 강화하는 것이 적합할 수도 있습니다.
질문이 있으시다면 편하게 댓글 남겨 주세요~
👇🏻👇🏻👇🏻창원 운동 & 창원재활 & 창원 선수트레이닝 & 창원 골프 재활 상담은! 👇🏻👇🏻👇🏻
'논문리뷰' 카테고리의 다른 글
| 반복 스프린트 vs 인터벌 훈련, 햄스트링에는 뭐가 더 좋을까? (0) | 2025.05.07 |
|---|---|
| 전방십자인대 재건 수술 후 스포츠에 복귀하는 선수들의 SSC 활성화가 중요한 이유 (1) | 2025.05.02 |
| 창원 재활 & 창원 운동 / 테니스 선수의 서브 속도 향상을 위한 어깨 강화 운동 (0) | 2023.05.04 |
| 창원 재활 & 창원 운동 / 미식축구선수의 여름 컨디셔닝 및 프리시즌 중 부상 (0) | 2023.04.17 |
| 창원 허리재활 & 창원운동 / 이상근 증후근 (0) | 2023.04.06 |
댓글