안녕하세요 Doctor.K 입니다. 오늘은 투수에게 어깨 회전 힘과 가동범위가 미치는 영향의 대한 연구를 리뷰 해보도록 하겠습니다.(원저: Relationships Among Shoulder Rotational Strength, Range of Motion, Pitching Kinetics, and Pitch Velocity in Collegiate Baseball Pitchers)

Intro
매년 많은 야구선수들이 있지만 야구선수의 부상 역학 및 예방에 관한 연구는 부족합니다. 미국NCAA(전미 대학 체육협회) 남자 야구선수를 16년 동안 부상에 관한 역학조사에 따르면 훈련 1,000회당 5.78명으로 훈련시 부상에 비해 경기에서 부상률이 3배 높았습니다. 투수는 경기 중 부상의 15.3%를 차지했으며 상지 부상이 대부분을 차지 했습니다. 피칭동작에 두 가지 중요한 지점이 어깨 부상의 메커니즘과 관련되어 있습니다. 더 높은 볼 스피드는 던지는 팔의 더 높은 운동역학적 값을 초래하고 부상과 관련이 있습니다. 투수의 어깨 부상에서 흔한 유형은 과사용 건염, 회전근개 파열, 관절와순 파열 등을 일으킵니다.
투수의 어깨 관절의 각속도는 피칭의 가속 단계에서 7,000°·s 이상으로 보고되었습니다. 어깨 내회전근은 가속 단계에서 동심 수축하는 반면, 외회전근은 피칭의 감속 단계에서 편심 수축합니다. 어깨 근육의 약화, 특히 회전근개는 투수의 어깨 부상 발생 위험 요인으로 제안되었습니다. 대학야구 투수를 분석한 연구에서 높은 가속 단계 강도 비율(ERecc/IRcon)과 어깨 IRcon 피크 토크 감소가 투수의 어깨 부상 발생과 관련이 있을 수 있음이 밝혀져있습니다. 피칭은 관절의 안정성을 유지하면서 빠른 속도로 큰 가동범위를 받아내야 하는 GH 관절이 중요합니다.

본 연구의 목적은 미국 대학생 투수의 어깨 회전근력, 가동범위, 역학 그리고 투구 스피드에 상관관계를 규명하는 것 입니다. 연구에서는 어깨 회전력과 투구 역학 사이에 상관관계가 존재하는 반면, 어깨 관절가동범위와 투구 역학 사이에는 negative한 상관관계가 존재한다고 가정했습니다.
Results
ER IR 및 ER, 180도 에서 ER을 포함하여 피칭 속도와 힘 사이에 상당히 강한 상관관계가 발견되었습니다.

Discussion
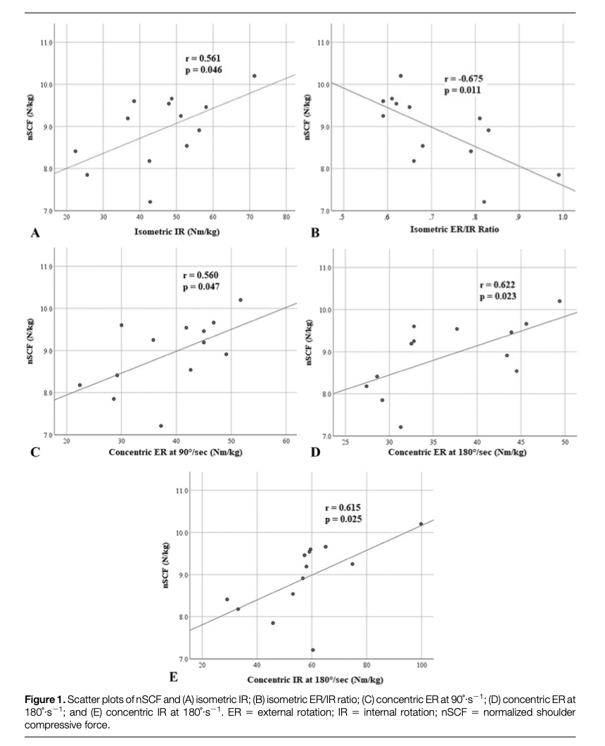
어깨 회전 힘과 최대 어깨 압축력 사이에 상관 관계가 있음을 발견했기 때문에 임상 측정과 투구 동역학 사이에 상관 관계가 존재한다는 연구의 가설은 부분적으로 사실인 것으로 밝혀졌습니다.
근력 지표와 투구 속도 사이에 양의 상관관계가 존재한다는 연구의 가설이 사실인 것으로 밝혀졌습니다. 이러한 결과는 피칭 기능을 향상시킬 수 있다는 것을 의미합니다.어깨 IRi 힘(r=0.561), IRcon 힘(180°·s21, r=0.615), ERcon 힘(90°·s21, r=0.560 및 180°·s21, r=0.622) 간에 강한 양의 상관관계가 발견되었습니다. 최대 어깨 압축력으로. ERi 힘(r = 0.567), IRi 힘(r = 0.613), ERcon 힘(90°·s21, r = 0.657 및 180°·s21, r = 0.603), 투구 속도 사이에서도 많은 양의 상관관계가 발견되었습니다.
이는 어깨 회전력이 증가할수록 투구 속도가 증가함에 따라 어깨 압박력이 증가함을 의미합니다. 투구 속도와 4개의 상관 관계 중 3개는 외회전근과 관련이 있으며 외회전근의 강도가 피칭 속도의 핵심일 수 있음을 시사합니다. 투구 스피드를 증가시키기 위해서는 외회전 근력 증가에 초점을 맞춘 근력 훈련 프로그램이 필요합니다.
어깨 압축력은 팔이 감속하는 동안 공을 놓은 직후에 최고조에 달했습니다. 볼 릴리스 후 최대 어깨 압축력의 증가는 회전근개 근육 이완을 실패할 수 있으며  관절와순을 찢을 수 있습니다 ERi/IRi 강도와 최고 어깨 압박력(r = 20.675) 사이에도 강한 음의 상관관계가 발견되었는데, 이는 ERi/IRi 강도 비율이 감소함에 따라 어깨 압박력이 증가함을 나타냅니다. 이 음의 ERi/IRi 상관관계는 양의 IRi 상관관계와 일치합니다. 즉, 외회전근을 강화하지 않고 내부 회전근의 강도가 증가하면 ER/IR 비율이 감소합니다.
팔이 감속하는 동안 어깨의 토크를 분산하려면 적절한 어깨의 힘이 필요합니다. 내회전근 동심성 수축 및 외회전근 편심성 수축 근력 증가에 초점을 맞춘 근력 훈련 프로그램이 필요합니다.

Partical Applications
연구의 결과는 대학 투수의 어깨 회전력과 투구 동역학이 경기력 사이에 미치는 영향을 보여줍니다. 3가지 근력 지표(IRi, 90°·s21의 ERcon 및 180°·s21의 ERcon)는 최고 어깨 압축력 및 피칭 속도와 상관관계가 있었습니다. 이러한 결과는 전문 스트렝스 코치가 어깨 근력 영역을 증가시켜 볼 속도를 증가시켜 투수의 기량을 향상시킬 수 있음을 시사합니다. 부상 위험을 높이지 않고 투구 속도를 높이려면 투수는 근육 활동을 적절하게 만들어야 합니다.
상지 근육의 힘도 중요하지만 피칭 속도가 상지 근육에만 전적으로 의존할 수는 없습니다. 적절하고 효율적으로 공을 던지려면 상지 근육과 몸통 및 하지와의 적절한 조정이 필수적입니다. 향후 연구에서는 피칭 속도에 대한 전신의 기여도를 결정하기 위해 몸통과 하지의 근력을 통합해야 합니다. 근력 지표와 피칭 생체역학 사이의 관계에 대한 지식은 부상 위험을 증가시키지 않고 속도를 높이는 것을 목표로 근력 훈련 루틴을 개선할 수 있습니다.


선수트레이닝 및 재활 상담 문의
'논문리뷰' 카테고리의 다른 글
| 오버헤드 딥 스쿼트가 골프 스윙에 미치는 영향 (0) | 2023.02.22 | 
|---|---|
| 요통 환자에게 발목 배측굴곡, 복근의 동시수축시 나타나는 효과 (0) | 2023.02.20 | 
| 투수의 요추 골반 컨트롤과 퍼포먼스 (0) | 2023.02.15 | 
| 노르딕 햄스트링 컬에서 발목 위치의 영향 (0) | 2023.02.07 | 
| 오버헤드 선수의 어깨부상과 코어 운동 (0) | 2022.09.06 | 
 
										
									 
										
									 
										
									 
										
									
댓글